Por: Santiago Osorio R.
Sexta parte de la quinta entrega de la serie 'DU PLAN INCLINÉ À LA THÉORIE
DU COIN DES TERRES' (Del plano inclinado a la teoría de la cuña de suelo), una visión detallada del aporte de Charles Augustin Coulomb a la
consolidación de la teoría clásica de la mecánica de suelos. Octubre 15 de
2021.
Los cuatro grandes problemas en la ingeniería estructural a lo largo del siglo XVIII fueron la resistencia de las vigas, la resistencia de las columnas, el empuje de los arcos y el empuje de tierra (es decir, el comportamiento del suelo detrás de un muro de contención, un problema en el campo de lo que ahora se llama mecánica de suelos). Aquellos cuatro problemas surgieron en un contexto militar, en el diseño de fortificaciones, pero sus soluciones abrieron una gama de aplicaciones en el campo general de la ingeniería estructural.
Cuando Charles Coulomb, recién graduado de Mézières, fue enviado como un joven oficial del ejército para fortificar la isla de Martinica (contra los ataques, entre otros, de los británicos), pues descubrió que carecía de la teoría para cada uno de estos cuatro problemas, y encontró que lo que le habían enseñado en su curso de dos años en el Royal Engineers College en Méziéres no era realmente suficiente cuando se trataba de la práctica. Necesitaba soluciones para diseñar sus fortificaciones; a su regreso a París después de nueve años en el extranjero, presentó sus contribuciones a la teoría a la Academia en un notable documento de 1773. Coulomb es recordado por los físicos, que no lo conocen como ingeniero de fortificaciones, por su trabajo posterior en cargas eléctricas.
Antes de 1760, la profesión de ingeniero civil apenas existía; una década más tarde se podían ver ingenieros consultores modernos reconocibles, de los cuales el inglés John Smeaton era preeminente. Tales hombres, entonces como ahora, viajaron a donde se necesitaban sus habilidades; hicieron diseños sobre la base de su reserva de conocimiento y, si esa reserva era insuficiente, hicieron su propia teoría y experimentos y contribuyeron a la ciencia de su materia; y se aseguraron, de ser necesario con asistentes, de que el trabajo se realizó correctamente.
La famosa memoria de Coulomb se publicó hace casi 250 años: no era la
primera vez que se calculaba el empuje contra un muro de contención, pero el
análisis de Coulomb sentó las bases de la ciencia moderna de la mecánica del
suelo. De hecho, el trabajo ampliamente citado en la bibliografía técnica
pero poco estudiado y revisado por los ingenieros, presagia de manera
notable algunos de los hallazgos de la teoría de la plasticidad moderna. Sin
embargo, el suelo fue tratado por Coulomb como un material de una sola fase,
con dos parámetros físicos: cohesión y fricción. La introducción de Terzaghi
de una tercera variable: la presión de agua de poros, alteró radicalmente
las teorías de la ingeniería geotécnica.
Era la época en que los reyes soñaban con fortificaciones inexpugnables;
Louis XIV había decidido, después de la desafortunada Guerra de los Siete
Años, construir una poderosa fortaleza en el Caribe, en la isla de
Martinica. El proyecto ascendió a seis millones de libras (unos 30 millones
de dólares). A los 27 años, iba a tener la aventura de hacerse cargo
prácticamente en exclusiva de un inmenso proyecto; el de Fort Bourbon, que
se construirá en las laderas del monte Garnier, con vistas a la rada de
Fort-de-France. Se trataba de muros de contención de 7,78 m (25 pies) de
altura, parapetos, un hospital, un tanque de agua, un polvorín y tiendas de
alimentos. La figura 1 muestra un plano de este fuerte. Tenía 600 toises
(aproximadamente 1.166 m) de circunferencia y 200 toises (389 m) de
longitud, a lo largo de la costa.
Coulomb se encargó de la extracción de la piedra, el movimiento de tierras
y excavación, los trabajos de mampostería, el diseño de las bóvedas, los
muros de contención, etc. Fue allí donde planeó su ensayo de 1773. Coulomb
tuvo con él en Martinica una copia del manual de Bélidor de 1729, y este le
proporcionó reglas razonablemente eficientes para el diseño de
fortificaciones; posteriormente describió sus insuficiencias. Adelantó su trabajo en la isla casi sin documentación. Sin embargo, Coulomb era tanto un teórico con una fuerte
inclinación hacia las matemáticas, como un ingeniero práctico preocupado por
la economía y la resistencia. Como teórico, podía ver la naturaleza
arbitraria de algunas de las reglas de diseño; como hombre práctico, podía
ver que algunas reglas eran un desperdicio. Se propuso la tarea de hacer
reglas mejores y más racionales para cada uno de los cuatro problemas
“clásicos”, e informó de su trabajo a la Academia cuando regresó a Francia
después de nueve años en Martinica, asolado por la fiebre. Su salud se había
arruinado, aunque de hecho vivió hasta los 70 años, así que cuando leyó su
Mémoire, apenas sobrepasaba la mitad de su vida.
Coulomb cayó gravemente enfermo en 1767, y nuevamente en 1770. En 1772 el
fuerte estaba prácticamente terminado; a Coulomb finalmente se le dio
permiso para regresar a Francia. Destacado en Bouchain, escribió el artículo
de 1773. La memoria fue su primera publicación. Puso su pie en la escala
académica y lo inició en un lento alejamiento tanto de la ingeniería civil
como del Ejército. De su recuento final de 32 memorias a la Academia
(rebautizada como Instituto después de la Revolución), solo nueve eran sobre
temas de ingeniería mecánica, mientras que 22 estaban en el campo de la
física. Escribió su famosa serie de siete artículos sobre electricidad y
magnetismo entre 1785 y 1791, y su nombre todavía se usa para la unidad de
carga eléctrica. Hay una memoria anómala sobre fisiología vegetal; Coulomb
hizo algunos experimentos sobre la circulación de la savia, mientras vivía
en un peligroso París entre 1791-93.
Del título del ‘Essai’ Coulomb “Una nota sobre una aplicación de las reglas
de máximo y mínimo a algunos problemas estáticos, relevantes para la
arquitectura”, es importante aclarar que la palabra “arquitectura” era
habitual en la época, ya que las funciones de arquitectos e ingenieros aún
no se distinguían claramente. La expresión “máximo y mínimo” denota un
método de variación entre dos extremos, que ahora es fundamental en la
plasticidad, y que fue aplicado por Coulomb al empuje activo y pasivo del
suelo.
Su artículo sobre fricción es quizás el más recordado entre las memorias de
ingeniería. La fricción de Coulomb sigue siendo un concepto básico. El tema
fue propuesto para un concurso de premios de la Academia, pero el interés de
Coulomb despertó, como de costumbre, por la importancia práctica del tema, y
realizó un gran número de experimentos con “máquinas simples”. La colección
póstuma de ensayos de Théorie des machines simples (que reimprime las
memorias de 1773) también contiene artículos sobre la forma de las velas de
los molinos de viento, sobre la torsión de los alambres y sobre la velocidad
a la que pueden trabajar los trabajadores.
Uno de los documentos importantes de Coulomb fue sobre el diseño de un
cajón para trabajar bajo el agua; en sus primeros días estaba muy interesado
en la hidráulica, y escribió sobre problemas de esclusas. Como resultado
directo de su estudio de los problemas de bombeo de agua, fue nombrado
Superintendente de las Fuentes del Rey. El trabajo no era sinecure; fue
responsable del suministro de agua a todos los edificios reales de París, y
a Versalles y Fontainebleau, así como de los suministros públicos extraídos
de los acueductos del rey. Pero la carrera de Coulomb como funcionario
público y como físico le llegó a los cincuenta años; finalmente renunció a
su cargo en el ejército a la edad de 54 años, al comienzo de la Revolución,
y vivía de su pensión y de pequeños estipendios gubernamentales. Su trabajo
sobre mecánica de suelos se realizó 20 años antes.
Aunque el trabajo de Coulomb en mecánica de suelos es menos conocido, fue
el trabajo sobresaliente de su juventud, nunca dejó de preocuparlo y le
abrió el camino a otros campos de investigación fructíferos.
Los cuatro problemas de la ingeniería estructural en el ‘Essai’
El primero de los cuatro problemas de Coulomb en su memoria de 1773 sobre
estática es el de la resistencia de las vigas. Suele atribuirse el mérito de
haber sido el primero en colocar correctamente el eje neutro en flexión
elástica, a través del centro de una sección transversal simétrica. Es
irónico que este crédito sea incorrecto por dos motivos. Primero, Parent
había publicado la solución correcta en 1713, exactamente 60 años antes,
aunque este trabajo era casi con certeza desconocido para Coulomb. En
segundo lugar, Coulomb ni siquiera estaba tratando de resolver el problema
elástico; estaba siguiendo la línea que partía directamente de Galileo
(1638) de tratar de encontrar la resistencia última de una viga en la
flexión.
La Figura 1 muestra ilustraciones de dos de las pruebas de Coulomb en vigas
de piedra en voladizo de una muesca. En la figura 2 de Coulomb la carga se
aplica tan cerca de la raíz del voladizo como sea posible; Coulomb estaba
tratando de encontrar la resistencia al corte del material, y relacionar
esta resistencia con los resultados de la prueba de flexión de su figura 3.
De hecho, postuló que la fractura se regía por la falla de corte y utilizó
esta idea para abordar su segundo problema, el de la fractura de columnas
cargadas en compresión axial.
 |
Figura 1. Placa I
de la Mémoire de Coulomb |
La figura 5 de Coulomb muestra una columna de este tipo, con un supuesto
plano de falla de corte CM; Coulomb se dispuso a encontrar la ubicación de
este plano y el valor correspondiente de carga axial. Argumenta a partir de
lo que ahora se llamaría el teorema de plasticidad de límite superior: el
ángulo del plano de fractura debe elegirse para que el valor de la carga
axial sea mínimo (y de allí el uso de las palabras máximo y mínimo en el
título de la memoria). Coulomb admite tanto la cohesión como la fricción. Él
muestra, por ejemplo, que, en ausencia de fricción, el plano estará
inclinado a 45° con respecto al eje de la columna, independientemente de la
forma de la sección transversal.
Coulomb es correcto y preciso al aplicar los principios de máximos a sus
problemas, y aborda el problema mucho más difícil del empuje del suelo
contra un muro de contención exactamente de la misma manera. Se necesitaba
el valor del empuje para saber el espesor de los muros de contención de
mampostería; el problema había estado presente durante aproximadamente un
siglo, desde que el mariscal Vauban había perfeccionado su sistema de
construcción de fuertes que requería cortes profundos en el suelo. El propio
Vauban había proporcionado tablas de espesor de muro y masa para varias
profundidades de corte, y el manual de Bélidor proporcionaba tablas
similares. Estos espesores eran innecesariamente grandes y la propia
conclusión de Coulomb fue que en muchos casos podían reducirse.
Coulomb hace dos avances extraordinarios en su tratamiento del problema del
empuje del suelo. Los escritores anteriores habían considerado el suelo como
un material con fricción interna; el ángulo de fricción se puede encontrar
observando la pendiente natural limitante del suelo. Coulomb introduce un
segundo parámetro, la cohesión, y logra llevar a cabo un análisis complejo
en términos de estas dos constantes experimentales: la fricción y la
cohesión. En segundo lugar, mientras continúa su trabajo anterior en tratar
de encontrar el empuje del suelo a la falla incipiente del muro de
contención, él no asume a priori el ángulo de falla del suelo.
En cambio, exactamente como para la fractura de la columna, Coulomb trabaja
en términos de un ángulo desconocido y luego maximiza el empuje en el muro
para encontrar el plano de falla (que no es lo mismo que la pendiente
natural del suelo). Una vez más, está aplicando buenos principios de diseño
de límites y anticipando correctamente los teoremas de los límites modernos
de la teoría de la plasticidad.
Finalmente, Coulomb elimina efectivamente las propiedades materiales de su
estudio de los arcos; al usar la noción de “bisagras” de bloques de
mampostería uno sobre otro, muestra cómo calcular el valor del empuje del
estribo de un arco, nuevamente usando “principios de máximo y mínimo”.
La Ecuación de Coulomb - La fractura de columnas
Coulomb hace que el estudio de la columna sea preliminar a su trabajo en el
suelo. En el ‘Essai’ Coulomb informa tres grupos de pruebas en piedra. La
prueba 1 (pág. 6) es una prueba de tracción y la prueba 2 es un intento de
cargar una muestra en corte puro. La prueba 3 (pág. 7) investigó la fractura
de una viga en voladizo. Todas estas pruebas se hicieron en piedra de
Burdeos (p. 6) y, por lo tanto, parece que se hicieron en Francia,
probablemente entre el verano de 1772 cuando Coulomb regresó de Martinica y
marzo de 1773 cuando leyó el 'Essai' en la Académie. Las pruebas con ladrillos
de Provence (p. 7) probablemente también se hicieron en Francia; la prueba
con mortero que se informa en la misma página se realizó en Martinica.
Coulomb no informa ninguna prueba de compresión propia, y el único resultado
que cita, para el ladrillo (p. 13), se debe a Musschenbroek. Sin embargo,
desarrolla una teoría completa de falla por compresión de columnas robustas
cargadas axialmente.
El Postulado de Coulomb
En el artículo 8, p. 10 del Essai, Coulomb postula para columnas de
mampostería lo siguiente.
VIII - Resistencia de los pilares de mampostería (Fig.5. Pl. I. Sav.
Etrang. 1773. Pag. 382. Pl XV.)
“Cárguese un pilar homogéneo de mampostería, que primero consideraré
cuadrado, con un peso P; requiérase la dirección de la línea CM a lo largo
de la cual se fracturará el pilar, y la magnitud del peso necesario para esa
fractura” (Figura 2).
 |
Figura 2. Figura 5.
Pl. I. Sav. Etrang.
1773. ‘Essai’ de Coulomb |
“Supongo aquí que la cohesión produce la misma resistencia si la fuerza
actúa en paralelo o perpendicular al plano de fractura, como se observó en
la primera y segunda pruebas. Supongo también que el pilar está hecho de un
material homogéneo, que tiene cohesión δ. Tómese cualquier sección CM
inclinada con la horizontal y perpendicular a la cara del plano vertical
ABDM del pilar. Suponiendo por el momento que la coherencia de la parte
superior ABCM, como la de la parte inferior CDM, es infinita, está claro que
el grueso de la columna tendería a deslizarse a lo largo de CM; y por lo
tanto, si las dos porciones estuvieran unidas por una fuerza cohesiva igual
a la cohesión natural del pilar, para que la columna se rompa a lo largo de
CM, la magnitud del peso P resuelto en esa dirección tendría que ser igual o
mayor que, la coherencia de CM. Sea x el ángulo en M, sea DM = a y P el peso
cuya magnitud, representada por φq, se resuelve en las direcciones φr y rq
perpendiculares y paralelas a la línea de fractura. Si, por simplicidad, se
desprecia el peso de la columna, entonces

y por tanto sen x = cos x. Así, el mayor peso que la columna podría
soportar sin romperse es igual a 2δa2, el doble de la resistencia que
tendría en tracción, y el ángulo de menor resistencia, o de fractura, será
de 45°.”
“Hemos asumido en este análisis que la sección representada por CM era
perpendicular al lado vertical ABDM, pero se habrían encontrado los mismos
resultados para cualquier sección, siempre que formara el mismo ángulo con
la horizontal. Puede observarse que, según la teoría de la proyección, las
secciones oblicuas de un pilar están en una proporción con sus proyecciones
horizontales como el coseno inverso del ángulo entre estos dos planos;
entonces, denotando este ángulo por x, y por A el área de la base, igual
aquí a a2, se encuentra la expresión
para la coherencia de la sección oblicua, y Psen x para la fuerza que
tiende a hacer la parte superior de la columna deslizarse sobre el plano
inclinado que actúa como su base, sin importar dónde se encuentre el plano
de la sección. Dado que estas expresiones son exactamente las mismas que las
anteriores, deben dar los mismos resultados; de lo cual se puede concluir
que, cualquiera que sea la forma de la base horizontal de un pilar, si el
área de esa base es constante, su resistencia será la misma.”
(art.) IX
“En la solución anterior no hemos tenido en cuenta el efecto de fricción
que se opone a la fractura del pilar. Si se desea tener esto en cuenta,
entonces, manteniendo la notación anterior, se encontraría que Pcos x es la
componente del peso que actúa sobre CM, y dado que la fuerza de fricción es
proporcional a la fuerza de compresión, será igual a
siendo n una cantidad constante. El grueso del pilar ABCM, cargado con el
peso P, es entonces soportado por la cohesión y la fricción; así, aumentando
el peso hasta que sea suficiente para romper el pilar, tenemos

y el ángulo en M será 63°26'. Por tanto, la fuerza de compresión necesaria
para romper una columna de ladrillos es cuatro veces la fuerza de tracción
necesaria para romper la misma columna.”
* Las anteriores ecuaciones no se referencian por hacer parte del ‘Essai’,
tal y como fueron expuestas por Coulomb.
Regresando al análisis de la columna de mampostería de Coulomb y utilizando
una notación más contemporánea, la Figura 3 muestra las fuerzas que actúan
sobre la parte superior de la columna cuando se fractura a lo largo de un
plano inclinado en un ángulo θ con la horizontal (ángulo x de Coulomb en M,
p. 11) bajo la acción de una carga de compresión P; el área de la sección
transversal de la columna (de hecho, de forma arbitraria) se ha tomado como a2. La figura 3 muestra las fuerzas que actúan sobre la porción superior de
la columna cuando se fractura a lo largo de un plano inclinado en un ángulo
θ con respecto a la horizontal
 |
Figura
3. Fuerzas sobre parte superior de columna en el ‘Essai’ de Coulomb (1773). Fractura por corte de
una columna bajo carga de compresión |
Para el equilibrio,
Prony se había dado cuenta en 1802 de las ventajas que se obtenían
trabajando en términos de un ángulo de fricción, y había deducido el
resultado, 'remarquable par sa simplicite'. Prony dio una interpretación
física de su ángulo ς (Figura 4). Sobre una línea horizontal AB se pone el
ángulo de fricción 𝜙 para tener un triángulo rectángulo ABC; luego, la
bisectriz CD del ángulo en C da el plano de fractura. Prony desarrolló este
resultado para determinar la cuña del suelo que produce el mayor empuje
sobre un muro de contención; en la Figura 4, AB es la superficie horizontal
del suelo y AC el muro de contención vertical.
 |
Figura 4. Relación del plano de fractura con el
ángulo de fricción.
Simplificación de Prony para la carga de rotura de columna |
El hecho de que Coulomb no haya hecho tal simplificación (es decir, el uso
de la ecuación (6.2)) puede parecer trivial, pero es hasta cierto punto
típico de su trabajo en mecánica; en su análisis del empuje del suelo,
utiliza una distancia x como variable, aunque los resultados pueden
expresarse mejor en términos de un ángulo. Como otro ejemplo, nuevamente
relacionado con la fricción, Coulomb obtiene soluciones correctas en sus
Machines Simples de 1781 para el comportamiento de un eje circular en un
cojinete ligeramente suelto; sin embargo, aunque tiene todo el análisis e
incluso los diagramas, no logra dar el paso final para descubrir los
círculos de fricción de “Coulomb”. Y en la presente Mémoire, aunque el
análisis de la compresión, ecuación (6.5), es completo y correcto, existe la
grave omisión de cualquier intento de resolver el correspondiente problema
de tracción; este punto se analiza a continuación.
La mayor decepción es, por supuesto, el hecho de que Coulomb no desarrolló
una teoría más general del equilibrio de esfuerzos. Se había dado cuenta (p.
2) de que su trabajo sobre la fractura de columnas era esencialmente el
mismo que el de la presión de tierra, pero una vez más hay un fracaso en
generalizar. Quizás es demasiado esperar que el desarrollo de Cauchy del
tensor de esfuerzos (en 1823) pudiera haberse anticipado, pero Coulomb hizo
declaraciones claras sobre el equilibrio, pp. 4-5, y extrajo un elemento
triangular desde el continuo, y podría haber iniciado el análisis de
esfuerzos.
Coulomb utiliza el problema de la fractura por compresión de columnas para
introducir la cuestión más difícil del empuje del suelo contra un muro de
contención; además, su análisis de las columnas comienza con el caso más
simple en el que se desprecia la fricción (artículo 8, pág. 10).
El empuje del suelo sin cohesión
Coulomb utiliza las mismas técnicas para discutir el problema del empuje
del suelo contra un muro de contención en el momento de la falla. Como se ha
observado, él no asume un plano de falla; de hecho, su fig. 7 muestra que él
considera superficies curvas. Intenta establecer ecuaciones para estas
superficies curvas, pero sus matemáticas le fallaron y abandona el análisis
después de dos o tres páginas. Su discusión principal se refiere a la cuña
de tierra (Figura 5), empujando en la parte posterior del muro de
contención.
 |
Figura 5. Fuerzas que actúan sobre la
cuña de Coulomb al fallar un muro de contención |
Al igual que con la fractura de una columna, Coulomb comienza con un caso
simple: en este caso, el suelo se considera con fricción, pero sin cohesión
(como se aplicaría, dice Coulomb, al suelo recién removido). Asume una
superficie plana para fallar porque, dice, tales superficies se observan de
cerca en la práctica, y luego se ocupa de la estática de las fuerzas
ilustradas en la Figura 5. Así
El empuje del suelo (c, 𝜙)
Coulomb repite su análisis permitiendo la cohesión. Las expresiones para P
y Q de las ecuaciones (6.11) y (6.12) están relacionadas a través de la
ecuación (6.1) así
El corte vertical
En una pequeña sección por separado, de una docena de líneas, Coulomb
señala en su memoria que la ecuación (6.19) conduce a un resultado útil para
las excavaciones. Si se va a cavar una zanja sin que caigan los taludes
laterales sin apoyo, entonces la condición A = 0 da la profundidad máxima de
la zanja sin soportes como
Discusión de Heyman (1972) sobre el 'Essai'
Coulomb era consciente de que resultados como los de las ecuaciones (6.19)
y (6.20) dan estimaciones inseguras de las cantidades deseadas. En términos
de la teoría moderna de la plasticidad, tales resultados inseguros provienen
de un supuesto mecanismo de falla; ese mecanismo es correcto, lo que
proporciona un valor máximo (o mínimo, según sea el caso) del parámetro que
se está calculando. Así, la superficie de falla del plano que define la cuña
del suelo en la Figura 5 dará un valor de empuje A que siempre es demasiado
pequeño; el ángulo α debe variarse para dar Amax. Pero Coulomb sabía que una
superficie de falla curva podría conducir a un resultado más crítico.
Sin embargo, era un ingeniero práctico, razonablemente satisfecho con sus
resultados (como lo estuvo la Academia, tanto en ese entonces como en el
futuro). Como un solo ejemplo, el valor real del coeficiente en la ecuación
(6.20) no es 4, sino un 5% menos, es decir, aproximadamente 3.8. Sin
embargo, no hay registro de ninguna prueba realizada por Coulomb para
confirmar el valor.
En un nivel más profundo de discusión, resulta que el enfoque de Coulomb
implica que toda la cuña de la Figura 5 está en el estado crítico; sin
embargo, esto no afecta los resultados de Coulomb, que se basan en un
mecanismo supuesto. Coulomb analizó este mecanismo escribiendo las
ecuaciones estáticas para el plano de falla pero, de hecho tales ecuaciones
de equilibrio no pueden satisfacerse en toda la cuña, un hecho que Coulomb
no señaló. En realidad, no tenía el aparato matemático para hacer tal
análisis; Cauchy desarrolló la teoría general del equilibrio de esfuerzos en
1823.
Fue, efectivamente, a partir de una teoría tan general que Sokolovskii
desarrolló su conocido análisis de línea de deslizamiento, que quizás
representa la exposición final de una teoría de la ingeniería geotécnica que
considera el suelo como un material de una sola fase. Las soluciones de
Sokolovskii son, como las de Coulomb, incompletas, ya que limitan la
atención a la cuña del suelo y no consideran las condiciones en el resto de
la masa del suelo. Además, si toda la cuña está en estado crítico, como
supone Sokolovskii, esto implica que la superficie del suelo está sujeta a
una sobrecarga, y esto limita el rango de sus soluciones. (Es interesante
que Coulomb en su Fig.2 muestra una sobrecarga simbólica, aunque en este
caso indica simplemente el peso propio del suelo).
La línea de investigación iniciada por Coulomb y terminando en Sokolovskii
fue dislocada violentamente por Terzaghi en 1943; el comportamiento del
suelo más el agua muestra que el tratamiento de Coulomb es un modelo general
pobre para la ingeniería geotécnica. Sin embargo, las soluciones de Coulomb
son válidas para una amplia gama de problemas. Su ecuación para el empuje
contra un muro de contención, por ejemplo, la ecuación (6.19), en la que un
término debido a la cohesión se resta del término de gravedad, bien podría
llamarse 'ecuación de Coulomb'.
Coulomb murió en 1806; el Elogio oficial del Instituto lo recuerda como
físico, y guarda total silencio sobre sus contribuciones a la ingeniería.
Sin embargo, no fue olvidado en la École des Ponts et Chaussées, y el gran
texto de Navier de 1826 rinde un hermoso tributo a la obra de Coulomb.
El ensayo de 1773 – Análisis de Jean Kérisel (1973) a propósito del Bicentenario del 'Essai'
El ingeniero francés Jean Kérisel brinda una didáctica forma de abordar el
análisis de Coulomb haciendo un ejercicio de aproximación a su manera de
pensar en la época de elaboración del ‘Essai’, de la manera expuesta a
continuación.
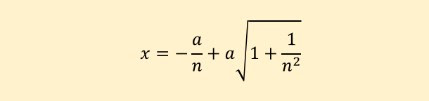
El plano de deslizamiento considerado es Ba en la Figura 6, con CB = a y Ca
= x; el peso del prisma 𝜙 es
donde g es la densidad del suelo. El prisma está sostenido por la fuerza A
del muro, que se supone que actúa horizontalmente, igual y opuesta al empuje
del suelo; por la fuerza cohesiva δ(a2 + x2)½ (llamada coherencia por
Coulomb), debido a la cohesión δ sobre la hipotenusa; y por fricción en el
mismo plano, igual a las componentes normales de 𝜙 y A multiplicado por 1/n.
Entonces Coulomb da una expresión para A en función de x; encuentra el valor
de x para el cual A es un máximo, y así obtiene:
 |
Figura
6. Diagrama que ilustra el argumento máximo y mínimo utilizado por Coulomb para
determinar el empuje activo y pasivo |
Traduciendo esto a notación moderna, poniendo 1/n = tan 𝜙,
obtenemos la expresión más familiar
Coulomb deduce dos corolarios importantes:
1. En primer lugar, si “se requiere la profundidad a la que se puede cavar
una zanja, cortándose los muros verticalmente, sin que caigan”, se puede
determinar estableciendo A = 0, de modo que
2. “Según principios similares, si se diera la profundidad de la
excavación, se podría encontrar el ángulo en el que se debe cortar el suelo
para que se sostenga por sí mismo por su propia cohesión”.
Luego, Coulomb generaliza su ecuación al caso de una sobrecarga, y a un
muro de contención rugoso, donde, como él mismo dice, “el suelo intenta
deslizarse en cada bloque de mampostería”.
Por último, concluye con algunos comentarios que llevan el sello de un
ingeniero, más que de un físico.
1) La cohesión de los suelos recientemente alterados es nula.
2) “La fricción del suelo contra la mampostería no es tan grande como la
fricción interna del suelo”.
3) “A menudo el agua, que se filtra a través del suelo, se acumula entre el
suelo y la mampostería y forma una capa de agua, reemplazando las fuerzas
del suelo por la presión sin fricción de un fluido”.
Esta observación puede considerarse como una primera aproximación hacia el
análisis 𝜙 = 0. En los ejemplos numéricos que presenta para suelos, Coulomb
considera dos veces el caso donde 𝜙 = 45° y c = 0. De hecho, Coulomb no
proporciona datos sobre la cohesión de los suelos. La división de la
resistencia al cizallamiento en componentes cohesivos y de fricción bien
puede basarse en un razonamiento integral destinado a incluir todos los
materiales, desde mortero, ladrillos y piedra, pasando por madera, hasta
metales. Sin embargo, Coulomb en Martinica llevó a cabo experimentos sobre
la resistencia a la tracción del mortero. También describe cómo midió la
cohesión de la piedra; en el caso de los suelos, probablemente no disponía
de ningún aparato suficientemente preciso para medir c, y no fue hasta
setenta años después que Alexandre Collin (1808-1890) produjo las primeras
mediciones reales de la fuerza cohesiva del suelo sin drenaje. Pero la
cuestión de la naturaleza real de la fricción y la cohesión en todos los
materiales fascinó a Coulomb a lo largo de su vida, más allá del artículo de
1773 y el artículo de 1779 sobre la fricción.
El artículo de 1779 sobre la fricción
En esta Mémoire Coulomb comienza advirtiendo al lector que sea escéptico
con los experimentos realizados a pequeña escala en un estudio científico;
no bastan, dice, porque la más mínima irregularidad, la menor partícula
entre las superficies en contacto, la adherencia de algunas partes más o
menos homogéneas, induce grandes errores en los resultados. Distingue dos
casos muy diferentes:
1er caso: Los cuerpos han estado en contacto durante algún tiempo. La
fricción entre ellos, según Coulomb, puede depender de los siguientes
factores:
(a) La naturaleza de los materiales en contacto y de cualquier
recubrimiento superficial.
(b) La extensión del área de contacto.
(c) La presión entre las superficies.
(d) El tiempo durante el cual han estado en contacto.
(e) La humedad atmosférica predominante.
2º caso: Los cuerpos se deslizan unos sobre otros con cierta velocidad
relativa.
Los posibles parámetros son (a), (b), (c) y la magnitud de esta velocidad.
Los experimentos que informó aquí se llevaron a cabo en madera y metal. La
Figura 7 muestra el aparato experimental de Coulomb. Consiste esencialmente
en un trineo (b), que soporta una carga variable y es tirado por una cuerda
que pasa sobre una polea y se desliza sobre una mesa de madera (a). El
trineo es devuelto por el cabrestante A. El área de contacto se puede variar
ajustando la parte inferior del trineo.
En el primer caso, Coulomb descubrió que, para dos piezas de madera
presionadas juntas, la fricción aumenta rápidamente en los primeros segundos
de contacto y luego mucho más lentamente. Da una relación que expresa este
aumento con el tiempo. En el segundo caso, encuentra que la fricción por
deslizamiento es menor que la fricción por adherencia después de un período
de contacto estacionario; encuentra que para la madera de olmo, la relación
entre ellos es de 9,5 a 2,2. Coulomb proporciona una gran cantidad de datos
experimentales y de ellos extrae las siguientes conclusiones generales sobre
la fricción. Las fibras que cubren la superficie de la madera se enredan
entre sí, como las cerdas de dos cepillos (Figura 8 (d)). Si se impone una
fuerza lateral sobre la superficie superior, las fibras de las dos
superficies se doblan (e) para tocar lateralmente, sin soltarse (f). Cuando
las superficies comienzan a deslizarse en la escala macroscópica, las fibras
se desprenderán.
Puede encontrarse en el análisis de Coulomb del rozamiento de la madera
algunas analogías cercanas con los fenómenos que hoy preocupan: La
dilatancia o dilatación, el aumento de la resistencia con el tiempo (que L.
Bjerrum, llamó “endurecimiento por el tiempo”); la disminución de la
fricción a un valor residual a medida que continúa el movimiento y el efecto
de escala también recuerdan algunas ideas modernas.
 |
Figura
7. Aparato experimental de Coulomb para medir la fricción de la madera |
 |
Figura
8. Interpretación de Coulomb de la dilatancia (dilatación) en la fricción de la
madera |
Referencias
Coulomb C. A. (1821). Théorie des machines simples. Paris.
Gillmor, C. S. (1968). “Charles Augustin Coulomb: Physics and Engineering
in Eighteenth-Century France,” PhD dissertation, University of
Princeton.
Gillmor, C. S. (1971). Coulomb and the Evolution of Physics and Engineering
in Eighteenth-Century France, Princeton University Press, Princeton, New
Jersey, U.S.A.
de Boer, R. (2000). Theory of Porous Media: Highlights in Historical
Development and Current State. Springer. Verlag. Berlin. Heidelberg. New
York.
Heyman, J. (1972). Coulomb's Memoirs on Statics: An Essay in the History of
Civil Engineering. Cambridge, U.K.
Heyman, J. (1998. Coulomb's analysis of soil thrust. Proc. Instn civ. Engrs
Geotech. Engng, Vol.131. pp.83-88.
Heyman, J. (1998). Structural Analysis. A Historical Approach. Cambridge
University Press.
Kerisel, J. (1973). Bicentenary of the 1773 Paper of Charles Augustin
Coulomb.
Cita
Relatos de la Geotecnia
+ Apuntes de Geotecnia con Énfasis en Laderas
2021
Comentarios
Publicar un comentario
Bienvenidos, agradezco sus comentarios ...